高機能な熱硬化性樹脂へのバイオマス活用
住友ベークライトはフェノール樹脂をはじめとする高機能な熱硬化性樹脂材料を提供しております。
近年は新たな機能や更なる高耐久を目指す一方、資源循環や温暖化ガス排出削減に取り組み、その一環としてバイオマス活用を進めております。
バイオマスは大気中のCO2を取り込んで成長します。そこでプラスチック(樹脂)に使用される化石資源由来原料を、バイオマス由来原料に代替することで、焼却時に発生するCO2排出量の実質削減が可能です。また、バイオマスを利用することで炭素として循環することが可能です。
一方、プラスチックへのバイオマス利用には、3R(Reduce, Reuse, Recycle)の阻害、食料との競合、ライフサイクルにおける様々な環境負荷(温暖化ガス、水)、なども考慮する必要があります。
※不必要な使い捨てプラスチックにバイオマスを使うと3Rを阻害する、バイオマス生育期間が長いと循環しないといった指摘があります。
本邦では「プラスチックが機能面で必要不可欠で、製品の性質上必ず焼却されるなど3R困難な場合に、バイオマスを活用すること(例:可燃ごみ袋)」が提唱されております。
※3RであるReduce(使用減、省資源化)、Reuse(再利用)、Recycle(再資源化)を徹底したうえで、Renewable(バイオマス)を活用する。
参考: 2019年 プラスチック資源戦略 「3R+Renewable(持続可能な資源)の原則」
また、長寿命な製品であれば、バイオマスが取り込んだ炭素を長期間固定することが可能です。
これらの例のようにバイオマスが適するプラスチック製品を考えていく必要があります。
プラスチックへの適切なバイオマス活用例
バイオマスフェノール樹脂
当社はフェノール樹脂のリーディングサプライヤーとしてバイオマス活用に取り組んできました。
従来より様々な機能を付与したバイオマスフェノール樹脂を提供しており、バイオマス由来の柔軟性、疎水性、密着性を活かした用途に使用されております。
近年は耐久性に優れるリグニン変性フェノール樹脂を開発して従来用途への適用を進め、
またリグニン特有の機能を活かした新たな用途に向けた開発を進めております。
従来フェノール樹脂
従来バイオマス変性フェノール樹脂
リグニン変性フェノール樹脂
リグニン特有の機能
古くて新しいリグニン変性フェノール樹脂
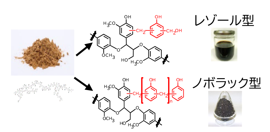
リグニンは植物の三大主成分であり、フェノール骨格を有する非可食バイオマス資源です。
当社は多様なリグニンをフェノール樹脂に適切に組み込み、従来より高機能なバイオマスフェノール樹脂を開発して社会実装を進めております。
高耐久なバイオマスネットワークポリマー
当社の得意とするフェノール樹脂を代替可能な、またはフェノール樹脂の枠を超えるような、100%に近い非可食バイオマス由来率のバイオマスネットワークポリマー※を開発しております。
※熱硬化などによって、架橋した高分子(樹脂やゴム)をネットワークポリマーと呼びます。熱硬化樹脂も含まれます。





お問い合わせ・資料請求